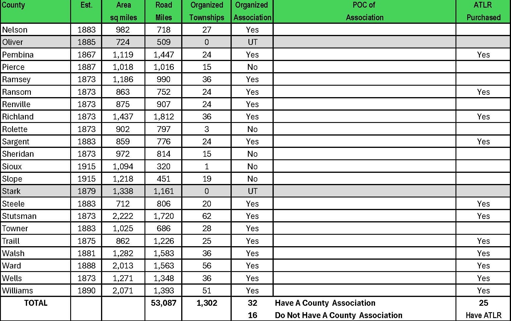
Listing of Counties indicating those that have organized township associations and those that have the Annual Township Ledger Report (ATLR) software for their townships to use.


THIS PAGE IS UNDER CONSTRUCTION
Information about County Associations: the Officer List, what the dues are, and how to pay them.
When we get the information for a county, it will be listed below.